- 雷達液位計料位計系列產品
- 壓力/液位/差壓/密度變送器
- 液位儀表系列
- 流量儀表系列
- 物位儀表系列
- 液位/溫度/壓力/流量-報警儀
- PLC/DCS自動化控制監控系統
- GPRS無線遠傳裝置
- 有紙/無紙記錄儀系列
- 溫度儀表系列
- 分析儀|檢測儀|校驗儀系列
全國銷售熱線:400-9280-163
電話:86 0517-86917118
傳真:86 0517-86899586
銷售經理:1560-1403-222 (丁經理)
??? ? ? ? 139-1518-1149 (袁經理)
業務QQ:2942808253 / 762657048
網址:http://m.hnbz8.com
電話:86 0517-86917118
傳真:86 0517-86899586
銷售經理:1560-1403-222 (丁經理)
??? ? ? ? 139-1518-1149 (袁經理)
業務QQ:2942808253 / 762657048
網址:http://m.hnbz8.com
污水處理工程中常見的液位計有哪幾種類型及其相應的安裝與維護經驗
發表時間:2019-01-29 ??點擊次數:2195? 技術支持:1560-1403-222
0 引言

上一條:鈦產業在國民經濟的重要作用及對儀器儀表行業產生何種影響
下一條:投入式液位變送器的保養及維修知識簡要介紹
污水處理工程一般包含污水預處理系統、生化處理系統、污泥處理系統三部分。污水預處理系統主要由進水泵、粗細格柵、砂水分離器等構成;生化處理系統是污水處理的核心,一般含沉淀、絮凝、厭氧、缺氧、好氧等工藝流程;污泥處理系統由污泥濃縮池、污泥脫水機等組成,包括污泥勻質、濃縮、脫水、處置四道基本工序。
污水處理工程涉及液位(差)、流量、壓力、溫度、濃度(含PH、溶解氧等)、濁度等多種工藝參數的測量。其中液位測量占很大比重,在各個工藝階段幾乎都有液位檢測點。測量介質包含水和溶液兩種。溶液是指用于改善污水水質的溶液如:酸、堿等,一般純溶液于儲罐中貯存,混合溶液存于帶攪拌器的混凝土池內。毋庸多言,水作為污水處理的對象,對其液位的檢測數量是多的。相對其它工藝流程,污水處理工程的水位測量有它自身的特點:
1)測量介質一般是含泥沙、油污等多種無機、有機污染物的污水,大多存于室外敞口池中;
2)生化處理系統使用氣浮工藝的水面上多存在泡沫;
3)調節池、濃縮池等多設有攪拌器。相對于其它種類的測量儀表,適合污水處理工程使用的液位儀類型眾多。有接觸和非接觸測量兩類,涉及包括差壓式、浮力式、電學式、聲學式等多種測量原理的液位計。這對儀表的選擇提供了很大空間,同時也帶來了合理選型的難度。本文以實際使用普遍,數量多的磁翻板液位計、投入式液位計、超聲波液位計和雷達液位計為例,結合原理,總結實際工作中液位計選型、安裝、使用和維護的經驗。
1 磁翻板液位計

1.1 測量原理
磁翻板液位計主要基于浮力和磁力原理。帶有磁體的浮子(簡稱磁性浮子)在被測介質中的位置受浮力作用影響。液位的變化導致磁性浮子位置的變化、磁性浮子和磁翻柱(也成為磁翻板)的靜磁力耦合作用導致磁翻柱翻轉一定角度(磁翻柱表面涂敷不同的顏色),進而反映容器內液位的情況。
1.2優缺點及注意事項
1)顯示清晰、讀數直觀,方便現場監控。
2)一般選用帶遠傳功能的磁翻板液位計,不需多組液位計組合,即可同時實現現場和操作室監控,設備開孔少。

3)測量介質臟污時,易堵。根據介質情況,應定期清洗主導管,清除管內沉積雜質。建議配套排污閥方便檢修。若測量介質含腐蝕性時,須選用耐腐蝕的產品。
4)如圖1示,通常情況下,工藝與儀表**的設計、維護以法蘭為界,因此,須注意液位計法蘭與工藝接管法蘭配對。另外,液位計根部閥V1、V2屬工藝選型或由儲罐配套。為保證液位計檢修時,不影響生產,V1、V2必須選用產品,故在儲罐設計或采購時,儀表**須向工藝**提出要求。
1.3使用位置
在污水處理工程中多選用側裝式的磁翻板液位計,常用于需現場和操作室兩地監控的位置,如酸罐、堿罐、部分藥罐液位檢測。
2.1測量原理
基于所測液體靜壓與該液體高度成正比的原理,采用多晶硅、陶瓷或電容壓力傳感器,將靜壓轉成電信號。一般由直接投入液體中的傳感器、用于信號放大、校正、補償、結果顯示的變送器和導氣或連接電纜(傳感器與變送器連接)三部分組成。
2.2優缺點及注意事項
1)結構簡單,價格較便宜。
2)傳感器直接投入被測液體內測量,因此不受介質起泡影響。
3)由于傳感器與變送器間為柔性連接,儀表貯存及運輸方便,尤其在大量程的液位測量中,其優勢更突出。安裝方便,只須將傳感器直接投入被測液體,即可實現測量。
4)水流沖擊、摩擦振動(尤其是與液位變化同方向的振動)等因素會改變投入式傳感器在液體中的位置,進而影響測量值,所以好將液位計安裝于水流相對平穩的地點。受現場條件制約,無法避免時,好將傳感器置于隔離管中安裝或選擇其它種類的液位計。圖2為加裝隔離管的投入式液位計在某調節池中的應用示例,使用隔離管避免了因攪拌器工作引起的水流沖擊,保證了測量的準確性。
5)使用于水質過差的環境時,傳感器套孔易被污泥堵塞,導致測量值失真,需酌情定期清洗維護。為減少套孔被污泥堵塞的概率,建議將其安裝于離池底大于100mm的位置,并使用隔離管。
6)使用壽命較短。使用一段時間后,易出現零點或量程漂移,現場校準有難度。
2.3使用位置
雖然投入式液位計存在使用壽命較短,傳感器易堵等缺點,但由于它在價格和安裝維護方面的優點,尤其是價格方面,一般僅千元左右,相對于后文提到的超聲波、雷達液位計一般需萬元左右,有較大優勢,目前仍是污水處理工程測量敞口容器液位使用較多的液位計之一。
在上清液集水池、清水池、濾池等水質相對較好的工藝流程中使用時,壽命較長,幾乎免維護。可以使用在水質差的環境中,但不適合池底淤泥層過厚的池內使用。加裝隔離管后可應用于部分帶攪拌器的調節池、濃縮池等。

3超聲波液位計
3.1測量原理
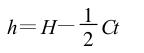
超聲波液位計是利用回波測距原理的非接觸式儀表。回波測距原理又稱行程時間或傳播時間(TOF,Time ofFlight)測量原理。它是通過一個可以發射能量波(一般為脈沖信號)的裝置發射能量波,能量波遇到障礙物反射,由一個接收裝置接收反射信號。根據測量能量波運動過程的時間差來確定物位變化情況。由電子裝置對能量波信號進行處理,終轉化成與物位相關的電信號。利用超聲波作為能量波的液位計即是超聲波液位計。其測量原理如圖3示。液位高度計算公式如下:

其中,C為超聲波在空氣中的傳播速度;t為超聲波由液位計到水面往返一次的時間。由公式可見,液位高度受超聲波傳播速度的影響。而超聲波是利用氣體(絕大多數情況下是空氣)作為傳播介質,空氣的壓力(真空度)、溫度、濕度、氣流等變化會改變超聲波傳播速度。例如,超聲波速度與溫度的近似公式為:
式中,C0為零度時的聲波速度332m/s;T為實際溫度(℃)。
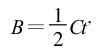
可見,溫度變化會產生液位測量誤差。超聲波液位計的超聲放射及接收裝置均安裝于同一探頭中,這就決定了只能在發射引起的傳感器余振基本消失后,接收裝置才能檢測反射回波。另外,超聲發射是以脈沖方式進行,而脈沖具有一定的時間寬度,因此,在超聲發射到余振基本消失的這段時間t'內,液位計不能正常工作,這段時間對應的液位

B稱為盲區,如圖3示,被測的高液位如進入盲區,儀表將不能正確檢測。盲區大小取決于發射裝置的功率。一般而言,發射裝置功率越大,發射頻率就越低,余振衰減時間越長,盲區也就越大。
3.2優缺點及注意事項
1)具有工作可靠、精度高、使用周期長、免維護的特點,并具有相對的價格優勢。
2)在污水處理工程中,多可選用一體式液位計,安裝簡便。
3)回波反射產生的干擾回波和假回波,可通過軟件來排除,但有效回波強度也同時被衰減。因此,設計選型時,要考慮衰減因素,選擇量程要留有一定的余量。
4)為了盡量減少干擾回波,安裝位置要盡可能選擇液面平穩的位置,同時遠離扶梯、檢修通道、進水口、出水口、攪拌器,盡可能與池壁保持較遠的距離。在探頭規定的波束發射角下,錐形波束在低測量液面上的投影,不與容器壁及其它能反射聲波的構件接觸。在避開盲區的前提下,盡量貼近高液面安裝,以減少池壁回波的干擾。為獲得盡可能強的回波,要保證探頭與被測界面垂直。
5)*次投運,須對儀表進行使用位置、介質特性、工藝條件等內容的設定,完成空程、滿量程校正。利用配套軟件進行回波曲線檢查,抑制干擾回波。建議在有條件的情況下,在池壁上分別標注液位滿量程的20%、50%、95%、三點,以方便今后維護和校驗。
6)為避免因壓力、溫度等特性變化而產生的液位誤差,應選擇有溫度補償的產品。
7)泡沫是聲波反射不充分的表面,會吸收一部分或是全部的聲波脈沖能量,減少或是完全消除回波信號。因此,在被測液面存在泡沫的場合,不能使用。但在泡沫較輕,盲區允許的情況下,可通過加大液位計的功率,來實現測量。

3.3使用位置
超聲波液位計不能使用在測量工況變化劇烈或真空的場合,但污水處理工程一般不存在上述情況,這一優勢使超聲波液位計在污水處理工程中得以**應用。
除了不能使用在有大量泡沫、液位波動劇烈的地方外,幾乎可在污水處理的各個工藝流程中**使用,用于測量水池液位、液位差等。
4、雷達液位計

4.1測量原理
超聲波、雷達液位計都是利用回波測距原理的儀表。利用電磁波作為能量波的液位計即是雷達液位計,又稱微波液位計。
雷達液位計按結構可分為天線式和導波式。天線式通過天線發射和接收電磁波,其結構與超聲波液位計為相似,都屬于非接觸式儀表。導波式是微波液位計的一種變型,英文名稱是Time DomainReflectometry(時域反射法)或簡稱TDR,也俗稱導波雷達,通常采用脈沖波方式工作。與微波液位計不同點在于微波脈沖不是通過空間傳播,而是通過一根(或兩根)從液位上方伸入、直達容器底的導波體傳播。導波體可以是金屬硬桿或柔性金屬纜繩。微波脈沖沿桿或纜的外側向下傳播,在被測液面上被反射,回波被天線接收,由發射脈沖與回波脈沖的時間差即可計算出傳播距離。
低頻雷達具有較大的波束角和較長的波長,使之在有液面擾動或攪拌的情況下能提供好的回波曲線。但其較大的波束角制約了使用范圍。為彌補這一缺陷,在實際產品中,低頻雷達多與導波管結合。也就是說,一般導波雷達液位計多使用低頻雷達。
4.2優缺點及注意事項
由于雷達液位計與超聲波液位計在測量原理上相同,本文3.2中1~ 5同樣適用于雷達液位計。但由于雷達液位計的特殊性,和超聲波液位計相比較,還有以下特點:
1)由于微波(電磁波)傳播不依賴介質,所以雷達液位計不受介質特性如壓力、溫度、真空度等影響,所以測量精度較超聲波液位計高。可以使用在工況變化較大或有蒸汽等超聲液位計不能正常工作的場合。
2)微波(電磁波)以光速傳播,使得雷達液位計測量更靈敏,刷新速度更快。

3)表1示出了不同特性的泡沫,對微波、超聲波信號的不同影響。由于污水處理工程液位測量所涉幾乎全是濕性泡沫,所以雷達液位計可代替超聲波液位計在液面有泡沫的場合使用。
4)使用導波雷達,可在帶攪拌、液面擾動等復雜工況或安裝空間有限的場合實現測量。導波雷達液位計安裝在有攪拌器的液體中,若液體流速過快,建議將導波管末端固定,以減少導波管受力。
5)部分產品配套有智能軟件,可實現不規則池底的液位測量。
6)雷達液位計比超聲波液位計價格稍貴。
4.3使用位置
由于雷達液位計在有泡沫、帶攪拌的測量場合具有優勢,它彌補了超聲波液位計在上述方面的不足。可以說,雷達液位計適合在污水處理的各個工藝流程中使用,測量水池液位、液位差。
5、結語
液位儀表是污水處理工程不可缺少的重要儀表。它種類繁多,根據介質和現場條件的不同,各類液位計各具優勢,形成一個多元化的局面。要找到適合的產品,只有在液位計選型、安裝時,根據各液位計的特點,從測量介質、安裝位置、儀表精度、價格、使用壽命、維護成本等多方面綜合考慮。隨著勞動力和生產成本的不斷提高,儀表高精度、免維護性在儀表選型中所占的比重也隨之不斷增加。因此,在儀表采購成本允許的情況下,建議盡量選擇高精度、免維護的儀表。相對于磁翻板液位計和投入式液位計而言,超聲波、雷達液位計更符合上述要求。隨著電子技術及制作工藝的不斷提高,超聲波、雷達液位計的價格會不斷下降,性能會不斷提高,數量會不斷增多。
上一條:鈦產業在國民經濟的重要作用及對儀器儀表行業產生何種影響
下一條:投入式液位變送器的保養及維修知識簡要介紹
- 相關文章
-
- 雷達液位計的作用 【2025-11-18】
- 雷達液位計使用注意事項 【2025-11-18】
- 雷達液位計安裝注意事項全解析 【2025-11-14】
- 雷達液位計工作原理及相關說明 【2025-11-14】
- 液位變送器的常見故障及處理 【2023-12-15】
- 化工自動化儀表安裝工程的施工特點及具體方法 【2015-11-29】
- 對于導波雷達液位計的常見故障原因分析和解決方法 【2020-07-31】
- 靜壓式液位變送器廠家直銷 【2024-01-05】
- 擴散硅壓力變送器價格 【2023-12-30】
- 投入式液位變送器供應 【2023-12-31】









