- 雷達液位計料位計系列產品
- 壓力/液位/差壓/密度變送器
- 液位儀表系列
- 流量儀表系列
- 物位儀表系列
- 液位/溫度/壓力/流量-報警儀
- PLC/DCS自動化控制監控系統
- GPRS無線遠傳裝置
- 有紙/無紙記錄儀系列
- 溫度儀表系列
- 分析儀|檢測儀|校驗儀系列
全國銷售熱線:400-9280-163
電話:86 0517-86917118
傳真:86 0517-86899586
銷售經理:1560-1403-222 (丁經理)
??? ? ? ? 139-1518-1149 (袁經理)
業務QQ:2942808253 / 762657048
網址:http://m.hnbz8.com
電話:86 0517-86917118
傳真:86 0517-86899586
銷售經理:1560-1403-222 (丁經理)
??? ? ? ? 139-1518-1149 (袁經理)
業務QQ:2942808253 / 762657048
網址:http://m.hnbz8.com
凈水廠配水管網電磁流量計和超聲波流量計的對比與選擇
發表時間:2019-08-01 ??點擊次數:862? 技術支持:1560-1403-222
給水工程是城市和工礦企業的一個重要基礎設施,必須保證以足夠的水量、合格的水質、充裕的水壓供應生活用水、生產用水和其它用水,它在人們的生活和生產活動中占有重要地位。凈水廠對水源水或不符合用水水質要求的水采取各種辦法改善水質,并輸至配水管網,是給水系統的重要組成部分。
對凈水廠出廠水流量進行測量,不但可以為經濟核算和水處理系統的診斷提供依據,還有利于提高城市供水調度的管理水平,加強各個生產環節的合理運行,提高供水安全,降低生產成本。

1、凈水廠出廠水特性
給水工程多采用地面水源或地下水,由取水構筑物、輸水管(渠)送至凈水廠內,經過混凝、沉淀、過濾及消毒等一系列處理,其水質達到國家規定后,通過配水管網送到千家萬戶。凈水廠的出水水質要滿足衛生部頒布的《生活飲用水衛生標準》(GB5749-2006)和建設部發布實施的《城市供水水質標準》(CJ/T206-2005)的要求。可見,凈水廠出廠水屬于導電的清潔液體,水溫為常溫,pH值約6.5~8.5,大多采用管道輸送,管徑基本為大口徑或特大口徑,流速1~2m/s左右,水壓基本能滿足6層樓直供的需要。
2、流量計選擇
流量儀表的選擇,除了考慮測量介質特性,還要考慮環境因素、安裝條件和經濟因素等,見表1。
安裝因素:儀表的安裝方向、介質流動方向、上下游管道狀況、閥門位置、防護性配件、脈動流影響、振動、電氣干擾和維護空間等。凈水廠出水管管徑一般都是大口徑或特大口徑,水平埋設于地下,設有專門的流量計井,液體單向流動,因為現在用地比較緊張,要求上下游直管段盡量短。
經濟方面的費用除考慮儀表的購置費、安裝調試費、維護和定期流量校驗(或檢定)費外,還要考慮運行費用和備用件費等。而運行費用除考慮儀表自身電耗外,還要考慮儀表產生壓力損失的泵送能耗費。由于凈水廠出水管長期帶壓運行,這方面的費用是個不可忽視的重要因素。同時凈水廠的水量牽扯到商貿結算的問題,儀表的精確度也是一個重要因素,若選用安裝費用低但精度低的儀表而造成損失,則是很得不償失的。
流量計安裝處周圍環境因素也是很重要的一項考慮內容,主要包括溫度、濕度、安全性和電氣干擾等。凈水廠出廠水流量計多安裝于專用的流量計井內,存在被水淹的可能,故zui好采用分體式,傳感器需要滿足IP68的要求,變送器滿足IP65要求即可。
溫度變化主要表現為一天早中晚的變化及一年的季節變化,視安裝地區不同而差異較大。流量計安裝處一般不會有射頻干擾或強電磁干擾,也不屬于爆炸性危險環境或化學侵蝕氣氛,安全性較好。
綜合上述各因素,可根據表1流量計初選表進行流量計初選。初選以后,收集流量計樣本、技術數據和使用手冊,再按性能要求和儀表規范、出廠水特性、安裝條件、環境情況和經濟因素等進行多方面驗證,zui終確定測量儀表。由于全通道、無阻礙的電磁流量計和超聲波流量計無壓力損失,運行費用zui低,適用于大管徑,雖然這兩種儀表的初始購置費用、安裝費用等與其它儀表相比并無多大優勢,但綜合考慮運行費用、計量精確度等因素,電磁流量計或超聲波流量計用在凈水廠出廠水的水量測量目前是zui合適的。但是多普勒超聲波流量計主要用于測量含有適量能給出強反射信號的顆粒或氣泡的液體,而未做實流標定的儀表測量精度較差,故不應采用。

3、電磁流量計和超聲波流量計的比選
對于凈水廠出水流量的測量,電磁流量計和超聲波流量計均能勝任,這兩種流量計都是屬于速度式流量計,其優點包括無壓力損失、適用管徑范圍大、精確度高、上下游直管段要求低及產品市場種類多等,但是由于測量原理、對介質特性的要求、傳感器結構及設備檢定等諸多方面有所不同,在實際應用時就會發現它們還是各有所長,所以需要根據實際情況做多方面的比較,科學合理、經濟適用地選擇檢測儀表。電磁流量計的測量原理如圖1所示,其流量方程式如下:
qv=EK
式中:
qv為液體的體積流量,m3/s;
K=4kB/πD,儀表常數;
E=kBDV
感應電動勢,V;
k為系數;
B為磁感應強度,T;
D為測量管內徑,m;
V—為平均流速,ms。
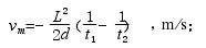
時差法超聲波流量計的測量原理如圖2所示,其流量方程如下:

式中:
qv為體積流量,m3/s;K=vm/v,流速分布修正系數,即聲道上線平均流速vm和面平均流速v之比;

L為超聲波在換能器之間傳播路徑的長度,m;
d為傳播路徑的軸向分量,m;
t1、t2兩個換能器之間超聲波的傳播時間,s;
D為測量管內徑,m。


不只是測量原理的不同,兩種儀表在傳感器結構、直管段要求等多個方面也存在差別。
綜合比較數據可知,對于新建凈水廠,出水管管徑不是特別大的,電磁流量計在綜合對比時有較大優勢;而改造工程、管徑大及安裝環境受限制的時候,宜多使用超聲波流量計,若精度要求高時,則多聲道超聲波流量計是較好的解決方案。
凈水廠作為供水系統的一個重要環節,為了滿足供水企業內部管理的需求,對出廠水計量儀表的準確度等級、zui大允許誤差、重復性、儀表檢定和通信功能等也提出了更多、更高的要求。電磁流量計是供水行業中目前使用zui多的流量計,其在水計量行業方面的主導地位一時難以撼動。但是,近年來超聲波流量計技術進步速度很快,尤其是在大口徑及改造工程中應用較多,正在被越來越多的用戶所接受。
上一條:安裝溫度變送器、壓力變送器、流量計需要遵循的一般性原則和技術要領
下一條:V錐流量計產品特點及安裝使用時應遵循的要求
- 相關文章
-
- 雷達液位計的作用 【2025-11-18】
- 雷達液位計使用注意事項 【2025-11-18】
- 雷達液位計安裝注意事項全解析 【2025-11-14】
- 雷達液位計工作原理及相關說明 【2025-11-14】
- 液化氣球罐底分水罐采用RZ-UHZ磁翻板液位計測量液位的案例分析 【2017-01-11】
- 單法蘭液位變送器失真處理方法 【2023-12-19】
- 投入式液位變送器用在哪里 【2024-01-03】
- 靜壓式液位變送器廠家推薦 【2023-12-28】
- 投入是式液位變送器 【2024-01-03】
- 生產壓力變送器的廠家 【2023-12-16】








