- 雷達液位計料位計系列產品
- 壓力/液位/差壓/密度變送器
- 液位儀表系列
- 流量儀表系列
- 物位儀表系列
- 液位/溫度/壓力/流量-報警儀
- PLC/DCS自動化控制監控系統
- GPRS無線遠傳裝置
- 有紙/無紙記錄儀系列
- 溫度儀表系列
- 分析儀|檢測儀|校驗儀系列
全國銷售熱線:400-9280-163
電話:86 0517-86917118
傳真:86 0517-86899586
銷售經理:1560-1403-222 (丁經理)
??? ? ? ? 139-1518-1149 (袁經理)
業務QQ:2942808253 / 762657048
網址:http://m.hnbz8.com
電話:86 0517-86917118
傳真:86 0517-86899586
銷售經理:1560-1403-222 (丁經理)
??? ? ? ? 139-1518-1149 (袁經理)
業務QQ:2942808253 / 762657048
網址:http://m.hnbz8.com
通過數據表詳解關于擴散硅壓力變送器的溫度補償方法
發表時間:2019-09-09 ??點擊次數:1189? 技術支持:1560-1403-222
擴散硅壓力變送器具有精度高、穩定性好、響應速度快等優點,但容易受溫度影響,導致零點漂移和靈敏度漂移。因此需對擴散硅壓力變送器進行溫度補償。本文提出了一種軟件補償方法,*先建立擴散硅壓力變送器與溫度的高階溫度補償模型,工控機利用zui小二乘回歸算法(PLSR)求出壓力變送器的溫度補償系數,通過HART通訊把溫度補償系數發送到壓力變送器中,壓力變送器通過高階溫度補償模型就可實現對擴散硅壓力變送器的溫度補償。關鍵詞:擴散硅壓力傳感器;溫度補償模型;zui小二乘回歸法
0 概述
擴散硅壓力變送器具有精度高、穩定性好、響應速度快等優點,但容易受溫度影響,導致零點漂移和靈敏度漂移[1]。測量值和真實值存在著誤差,因此溫度補償問題是提高傳感器性能的一個關鍵環節[2]。目前擴散硅壓力傳感器主要有兩種溫度補償方法:硬件補償和軟件補償。硬件補償方法存在調試困難、精度低、成本高、通用性差等缺點,不利于工程實際應用;軟件補償能夠克服以上缺點,也逐漸成為研究熱點[3]。
目前軟件補償主要有:查表法、二元插值法、BP 神經網絡法、小波神經網絡方法、曲線曲面擬合方法等[4]。查表法需要占用很大的內存空間,神經網絡方法存在網絡不穩定、訓練時間較長等缺點,不利于工程應用。本文采用zui小二乘回歸算法,占用內存少,運算速度快,可提高壓力變送器的輸出線性度和精度,提高了壓力變送器在全溫度范圍內的穩定性和可靠性。
1 溫度補償系統原理
擴散硅壓力變送器的溫度補償系統的硬件控制系統框圖如圖1 所示,圖1 以兩線制帶HART 通訊的壓力變送器為例。工控機通過溫度采集板卡采集放到溫控箱里溫度傳感器的溫度,并通過GPIB 總線對溫控箱進行溫度調節。氣泵、增壓泵和壓力控制系統為壓力變送器提供壓力,工控機通過壓力檢測系統檢測氣體的壓力值,并根據此壓力值調節壓力控制系統為壓力變送器提供穩定的壓力源。壓力變送器在溫控箱里整齊排列,壓力變送器接在同一個壓力氣源上,壓力變送器的供電也連接在一起接到24V 供電電源上,HART 調制解調器串在24V 供電電路里。當溫控箱穩定在某一溫度下,壓力控制系統為壓力變送器提供一個穩定的標準壓力,工控機就可以通過HART 調制解調器讀取溫控箱內每個壓力變送器在當前溫度和當前壓力下的壓力值。

2 溫度補償模型
通過對擴散硅壓力變送器的特性研究和大量的實驗數據分析發現,擴散硅壓力變送器的壓力值隨溫度變化滿足一定的規律[5],基于該規律提出了適用于擴散硅壓力變送器的高階溫度補償模型。
2.1 建立高階溫度補償模型
擴散硅壓力變送器的溫度補償模型如下:

其中:P—補償后壓力值,單位bar;CP00~CP44 —壓力的溫度補償系數;P測—變送器測量的壓力值,單位bar;T—溫度值,單位℃;
由關系式(1)得到矩陣形式如下:
其中:


其中:CP 和PT 都是具有25 個元素的行向量;CP00 ~CP44、P 測、T 和P 的含義同式(1)。
2.2 獲取樣本數據
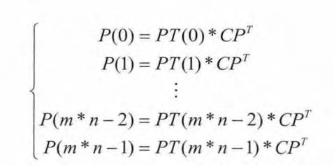
在擴散硅壓力傳感器的工作溫度范圍內(-35℃~85℃),每隔一定溫度取一個溫度點,共m 個溫度點,并在每一個溫度點下采集壓力變送器在滿量程范圍內的n 個壓力點的測量壓力值,則有m*n 個測量壓力值。然后通過m 個溫度值、n 個標準壓力值、m*n 個測量壓力值求解高階溫度補償模型的補償系數,求出補償系數后,把補償系數寫到硅壓力變送器的存儲單元中保存,以實現對擴散硅壓力變送器的溫度補償。根據式(2) 數據,可得到m*n 個關系式:

式(5) 轉換成矩陣形式如下:
/////

設式(6)中, 則有

2.3 利用zui小二乘回歸算法計算壓力的溫度補償系數。根據式(7)工控機利用軟件MATLAB 中的函數[CPT,CPint, b, bint, state]=regress(PT, A, 0.05) 即可求出溫度補償系數CP。
3 溫度補償方法的實現把量程為1bar 的擴散硅壓力變送器放到溫控箱中,接通氣源為壓力變送器提供標準壓力。給壓力變送器上電,關閉恒溫箱。在硅壓力變送器的使用溫度范圍(-35℃~ 85℃)內每隔10℃選取一個溫度點,共有13 個溫度測試點(m=13)。在每個溫度點分別采集壓力變送器在標準壓力為0bar、0.5bar 和1bar 下的測量壓力值(n=3),得到表1 補償前數據。
表1 中的**行為溫度值,二行為壓力變送器在0bar 壓力時各個溫度下的測量壓力值,第三行為壓力變送器在0bar 時各個溫度點的壓力滿量程誤差。第四行為壓力變送器在0.5bar 壓力時各個溫度下的測量壓力值,第五行為壓力變送器在0.5bar 時各個溫度點的壓力滿量程誤差。第六行為壓力變送器在1.0bar 壓力時各個溫度下的測量壓力值,第七行為壓力變送器在1.0bar 時各個溫度點的滿量程誤差。
根據表1 數據,可以得到矩陣A 和,根據式,工控機調用MATLAB 中的zui小二乘回歸算法函數regress,即可求出壓力變送器的溫度補償系數CP00 ~ CP44,如表2 所示。求出溫度補償系數后,工控機通過HART 通訊把溫度補償系數傳到壓力變送器內,根據式(1)可得出此壓力變送器的溫度補償模型,表3 為此壓力變送器采用溫度補償后的數據。
從表1、表3 數據可以看出,未進行溫度補償前擴散硅壓力變送器的溫度漂移很大,在-35℃、壓力為1bar 時滿量程誤差為0.81%,而采用高階溫度補償模型進行補償后的溫度漂移明顯減小,在-35℃~ 85℃的溫度范圍內,壓力變送器的滿量程誤差為0.07%,擴散硅壓力變送器補償后的滿量程精度比補償前提高了10 倍。
采用了本文介紹的壓力變送器的溫度補償技術,大大提高了擴散硅壓力變送器的輸出精度,且降低了產品輸出溫度漂移,產品在-35℃~ 85℃的溫度范圍內,溫度漂移控制在0.075% 以內。
4 結論
采用高階溫度補償模型,并利用zui小二乘回歸算法求解高階溫度補償模型系數的方法實現對擴散硅壓力變送器的溫度補償,從而改善了傳感器和電路元器件的溫度漂移,提高了擴散硅壓力變送器的輸出精度。在降低產品成本,提高產品性能和產品在國內市場競爭力等方面都具有非常重要的意義。
上一條:磁翻板液位計采用分段安裝時需要注意哪些方面的情況
下一條:電磁流量計等自動化儀器儀表選型安裝指導及故障分析
0 概述
擴散硅壓力變送器具有精度高、穩定性好、響應速度快等優點,但容易受溫度影響,導致零點漂移和靈敏度漂移[1]。測量值和真實值存在著誤差,因此溫度補償問題是提高傳感器性能的一個關鍵環節[2]。目前擴散硅壓力傳感器主要有兩種溫度補償方法:硬件補償和軟件補償。硬件補償方法存在調試困難、精度低、成本高、通用性差等缺點,不利于工程實際應用;軟件補償能夠克服以上缺點,也逐漸成為研究熱點[3]。
目前軟件補償主要有:查表法、二元插值法、BP 神經網絡法、小波神經網絡方法、曲線曲面擬合方法等[4]。查表法需要占用很大的內存空間,神經網絡方法存在網絡不穩定、訓練時間較長等缺點,不利于工程應用。本文采用zui小二乘回歸算法,占用內存少,運算速度快,可提高壓力變送器的輸出線性度和精度,提高了壓力變送器在全溫度范圍內的穩定性和可靠性。
1 溫度補償系統原理
擴散硅壓力變送器的溫度補償系統的硬件控制系統框圖如圖1 所示,圖1 以兩線制帶HART 通訊的壓力變送器為例。工控機通過溫度采集板卡采集放到溫控箱里溫度傳感器的溫度,并通過GPIB 總線對溫控箱進行溫度調節。氣泵、增壓泵和壓力控制系統為壓力變送器提供壓力,工控機通過壓力檢測系統檢測氣體的壓力值,并根據此壓力值調節壓力控制系統為壓力變送器提供穩定的壓力源。壓力變送器在溫控箱里整齊排列,壓力變送器接在同一個壓力氣源上,壓力變送器的供電也連接在一起接到24V 供電電源上,HART 調制解調器串在24V 供電電路里。當溫控箱穩定在某一溫度下,壓力控制系統為壓力變送器提供一個穩定的標準壓力,工控機就可以通過HART 調制解調器讀取溫控箱內每個壓力變送器在當前溫度和當前壓力下的壓力值。

2 溫度補償模型
通過對擴散硅壓力變送器的特性研究和大量的實驗數據分析發現,擴散硅壓力變送器的壓力值隨溫度變化滿足一定的規律[5],基于該規律提出了適用于擴散硅壓力變送器的高階溫度補償模型。
2.1 建立高階溫度補償模型
擴散硅壓力變送器的溫度補償模型如下:

其中:P—補償后壓力值,單位bar;CP00~CP44 —壓力的溫度補償系數;P測—變送器測量的壓力值,單位bar;T—溫度值,單位℃;
由關系式(1)得到矩陣形式如下:

其中:


其中:CP 和PT 都是具有25 個元素的行向量;CP00 ~CP44、P 測、T 和P 的含義同式(1)。
2.2 獲取樣本數據
在擴散硅壓力傳感器的工作溫度范圍內(-35℃~85℃),每隔一定溫度取一個溫度點,共m 個溫度點,并在每一個溫度點下采集壓力變送器在滿量程范圍內的n 個壓力點的測量壓力值,則有m*n 個測量壓力值。然后通過m 個溫度值、n 個標準壓力值、m*n 個測量壓力值求解高階溫度補償模型的補償系數,求出補償系數后,把補償系數寫到硅壓力變送器的存儲單元中保存,以實現對擴散硅壓力變送器的溫度補償。根據式(2) 數據,可得到m*n 個關系式:

式(5) 轉換成矩陣形式如下:
/////
設式(6)中, 則有

2.3 利用zui小二乘回歸算法計算壓力的溫度補償系數。根據式(7)工控機利用軟件MATLAB 中的函數[CPT,CPint, b, bint, state]=regress(PT, A, 0.05) 即可求出溫度補償系數CP。



表1 中的**行為溫度值,二行為壓力變送器在0bar 壓力時各個溫度下的測量壓力值,第三行為壓力變送器在0bar 時各個溫度點的壓力滿量程誤差。第四行為壓力變送器在0.5bar 壓力時各個溫度下的測量壓力值,第五行為壓力變送器在0.5bar 時各個溫度點的壓力滿量程誤差。第六行為壓力變送器在1.0bar 壓力時各個溫度下的測量壓力值,第七行為壓力變送器在1.0bar 時各個溫度點的滿量程誤差。
根據表1 數據,可以得到矩陣A 和,根據式,工控機調用MATLAB 中的zui小二乘回歸算法函數regress,即可求出壓力變送器的溫度補償系數CP00 ~ CP44,如表2 所示。求出溫度補償系數后,工控機通過HART 通訊把溫度補償系數傳到壓力變送器內,根據式(1)可得出此壓力變送器的溫度補償模型,表3 為此壓力變送器采用溫度補償后的數據。
從表1、表3 數據可以看出,未進行溫度補償前擴散硅壓力變送器的溫度漂移很大,在-35℃、壓力為1bar 時滿量程誤差為0.81%,而采用高階溫度補償模型進行補償后的溫度漂移明顯減小,在-35℃~ 85℃的溫度范圍內,壓力變送器的滿量程誤差為0.07%,擴散硅壓力變送器補償后的滿量程精度比補償前提高了10 倍。
采用了本文介紹的壓力變送器的溫度補償技術,大大提高了擴散硅壓力變送器的輸出精度,且降低了產品輸出溫度漂移,產品在-35℃~ 85℃的溫度范圍內,溫度漂移控制在0.075% 以內。
4 結論
采用高階溫度補償模型,并利用zui小二乘回歸算法求解高階溫度補償模型系數的方法實現對擴散硅壓力變送器的溫度補償,從而改善了傳感器和電路元器件的溫度漂移,提高了擴散硅壓力變送器的輸出精度。在降低產品成本,提高產品性能和產品在國內市場競爭力等方面都具有非常重要的意義。
上一條:磁翻板液位計采用分段安裝時需要注意哪些方面的情況
下一條:電磁流量計等自動化儀器儀表選型安裝指導及故障分析
- 相關文章
-
- 雷達液位計的作用 【2025-11-18】
- 雷達液位計使用注意事項 【2025-11-18】
- 雷達液位計安裝注意事項全解析 【2025-11-14】
- 雷達液位計工作原理及相關說明 【2025-11-14】
- 遠傳液位變送器技術改造 【2023-12-28】
- 溫度變送器回收價格 【2023-12-31】
- 積極參與三基產業創新發展 推動行業轉型升級系列報道之四 【2014-11-16】
- 差壓液位變送器在甲醇廠液氨儲罐液位精確測量的應用方案介紹 【2019-11-06】
- 差壓壓力變送器測量液位 【2024-01-06】
- 超聲波式液位變送器 【2023-12-16】








