- 雷達液位計料位計系列產品
- 壓力/液位/差壓/密度變送器
- 液位儀表系列
- 流量儀表系列
- 物位儀表系列
- 液位/溫度/壓力/流量-報警儀
- PLC/DCS自動化控制監控系統
- GPRS無線遠傳裝置
- 有紙/無紙記錄儀系列
- 溫度儀表系列
- 分析儀|檢測儀|校驗儀系列
電話:86 0517-86917118
傳真:86 0517-86899586
銷售經理:1560-1403-222 (丁經理)
??? ? ? ? 139-1518-1149 (袁經理)
業務QQ:2942808253 / 762657048
網址:http://m.hnbz8.com
磁翻板液位計在電站不同溫差下的液位測量中偏差分析

1 溫度對液位測量的影響
假設一個加熱器的液位測量裝置如圖1 所示,由于磁翻板液位計中的水溫低于加熱器中的水溫,水溫下降會導致水的密度上升,水的密度上升會產生兩個相反的作用:
①測量通道中水位下降,測量筒中的水位低于加熱器中的水位,造成測量值偏低;②測量筒中的浮球有更多部分浮在水面上,造成測量值偏高。本文對不同溫差下的測量偏差進行了詳細分析,并給出了電站常用的兩類磁浮球的測量偏差。

2 測量筒側的液位偏差
在實際過程中,加熱器中不同位置的水溫是不一致的,它和加熱器的形狀、體積等條件有關,同理在測量通道中不同位置的水溫也是不一致的。這會對理論計算造成較大的困難,在此對容器中水的溫度分布做了簡化。如圖1 所示,在閥門V 的左端為加熱器的水溫,假設水溫一致,且都為T1 ,在閥門V 的右
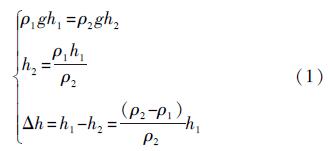
端為測量通道的水溫,設水溫一致,且都為T2 。在加熱器額定工作壓力P 的情形下,T1 溫度和T2 溫度下對應的水的密度分別為ρ1 和ρ2 。在閥門V 處,左端的壓力等于右端的壓力,由此可得:

式中:h1 為加熱器內水位;h2 為測量通道中的水位;ρ1為加熱器中水的密度;ρ2 為測量通道中水的密度;△h
為實際水位與測量通道水位之差。
由式(1) 可知,當加熱器內水位一定時,溫差越大,測量誤差越大;同理在溫差一定時,加熱器內的水位越高,測量誤差越大。
假設加熱器正常工作時水位h1 為0. 77 m,工作溫度為200 ℃,工作壓力為18. 6 bar。由公式可計算得到不同溫差下加熱器實際水位與測量通道水位之差△h,如圖2 所示。

由圖2 可得,當測量通道中水溫在100 ℃時,測量通道中的水位會低于實際水位,約8. 4 cm,從而可以看出△h 與測量通道中水的溫度以及加熱器內水位高度密切相關。磁浮球一旦按照額定工況制作好后,其zui大補償值便成定值,該補償作用有限,無法完全補償因溫度差異導致的測量筒中水位與加熱器實際水位的偏差。
3 兩類浮球的測量偏差
3. 1 A 類浮球的測量偏差
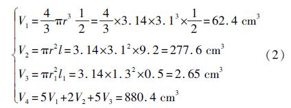
A 類浮球為不銹鋼3P 型浮球,浮球質量為930 g。對于這類球的計算需分為兩步進行,假設非線性部分始終浸在水下,則可以先近似計算出非線性部分的體積,之后可以進一步計算總的體積。計算過程如下。
① 非線性部分
浮球非線性部分的體積等于5 個半球加上2 個直筒再加上5 個連接環的體積,計算過程如下所示。

式中:V1 、V3 為半球的體積;V2 為直筒的體積;V4 為非線性部分的總體積。
② 線性部分
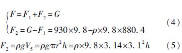
由公式可得該類浮球非線性部分的體積為880. 4 cm3 ,由于非線性部分始終浸在水下,因此非線性部分提供的浮力為F1 ,如下所示:
F1 =ρgV4 (3)
式中:ρ 為水的密度。由于浮球在水中的浮力等于它自身的重力,因此可計算得到浮球線性部分浸沒水中的高度,如式(4)所示。

式中:F 為浮球的浮力;G 為浮球的重力;V5 為線性部分浸入水中的體積;h 為線性部分浸入水中的高度。
由式(4)和式(5)可得:

浮球中線性部分直筒的長度為9. 2 cm,磁性材料(即對磁翻板起作用的位置)在離直筒上端約1. 5 cm處,由此可得浮球的補償值h′如下所示。
![]()
不同壓力和溫度下水的密度如表1 所示。將表1中不同溫度下水的密度代入式(6)和式(7),可得A 類浮球的修正值,如圖3(a)所示。結合本文圖2 所示加熱器實際水位與測量側水位之差和圖3(a),可得磁翻板液位計中采用A 類浮球測量液位時的水位指示值與加熱器真實水位的偏差,如圖3(b)所示。A 類浮球在不同溫差下的指示值與加熱器真實水位的偏差如表2所示,其中加熱器的工作溫度為200 ℃,加熱器的工作壓力為18. 6 bar。



3. 2 B 類浮球的測量偏差
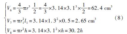
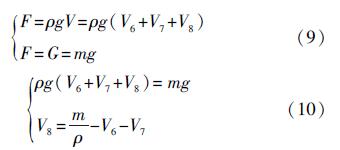
B 類浮球為3 節鈦合金圓筒型浮球,浮球質量為480 g,浮球的總長度為25.5 cm,磁性材料(即對磁翻板起作用的位置)在離直筒上端約2.8 cm 處。B 類浮球的排水體積等于1 個半球加上1 個連接環再加上浸在水中直筒的體積,分別用V6、V7、V8 表示,計算過程如下所示。

式中:h 為直筒底部距離浮球浸在水中時水面的高度。由于浮球在水中的浮力等于它自身的重力,由此可得:

式中:F 為浮球在水中的浮力;G 為浮球的質量;ρ 為水的密度。
由式(9)和式(10)可以得到h 與ρ 的關系,如下所示。

由式(11)可得浮球的補償值h′如下所示。
![]()
將表1 中不同溫度下水的密度代入式(11) 和式(12)可得B 類浮球的修正值,如圖4(a)所示。結合本文圖2 和圖4 可得RZ-UHZ磁翻板液位計中采用B 類浮球測量液位時的水位指示值與加熱器真實水位的偏差,如圖4(b)所示。B 類浮球在不同溫差下的指示值與加熱器真實水位的偏差如表3 所示,其中加熱器的工作溫度為200 ℃,加熱器的工作壓力為18. 6 bar。


4 結束語
磁翻板液位計中測量筒的介質溫度常低于加熱器中的介質溫度,隨著兩者溫差的增加,液位指示值與加熱器真實水位的偏差將會變大,且液位指示值在大多數情況下都小于液位真實值。現場*次安裝使用磁翻板液位計時,可采用本文給出的計算方法,根據磁浮球的尺寸、質量、設備介質溫度等信息計算出磁翻板液位計的測量值與設備實際液位的偏差,依據計算結果調整顯示面板標尺,使觀測到的測量值更加接近設備液位的真實值。
上一條:磁翻板液位計在冬季使用時的幾類保溫措施
下一條:大型石油化工行業的液位測量中使用雷達液位計常見故障分析
- 相關文章
-
- 雷達液位計的作用 【2025-11-18】
- 雷達液位計使用注意事項 【2025-11-18】
- 雷達液位計安裝注意事項全解析 【2025-11-14】
- 雷達液位計工作原理及相關說明 【2025-11-14】
- 國內市場需求推動檢測行業呈快速發展趨勢 【2015-01-03】
- 投入液位變送器多少錢 【2023-12-15】
- 液位變送器檢定周期 【2023-12-27】
- 雙法蘭液位變送器與膜片 【2024-01-06】
- 壓差液位變送器精確度 【2024-01-04】
- 壓力液位變送器調整 【2023-12-17】








