- 雷達液位計料位計系列產品
- 壓力/液位/差壓/密度變送器
- 液位儀表系列
- 流量儀表系列
- 物位儀表系列
- 液位/溫度/壓力/流量-報警儀
- PLC/DCS自動化控制監控系統
- GPRS無線遠傳裝置
- 有紙/無紙記錄儀系列
- 溫度儀表系列
- 分析儀|檢測儀|校驗儀系列
電話:86 0517-86917118
傳真:86 0517-86899586
銷售經理:1560-1403-222 (丁經理)
??? ? ? ? 139-1518-1149 (袁經理)
業務QQ:2942808253 / 762657048
網址:http://m.hnbz8.com
V錐流量計

產品名稱:RZ-VS V錐流量計
產品類別:V錐流量計
V錐流量計 概述:
又稱內錐流量計、V錐、錐形流量計,是一種具有技術的新型差壓流量計,和其它類型的差壓流量計的基本原理相同,都是基于密封管道中的能量守恒原理,RZ系列V錐流量計的獨特設計,擴大了流量測量范圍,并避免了傳統差壓流量計的一些局限性,工作性能更優。RZ系列V錐流量計是在管道中心懸掛一個錐形截流件,錐形件阻礙介質流動,重塑流速曲線,測量介質包括水、蒸汽、空氣、天然氣、氮氣、焦爐煤氣和有機氣體等。介質條件可從深低溫到超臨界狀態。工作溫度高450℃,大壓力25Mpa,可測量高雷諾數為5*106,低雷諾數為8*103甚至更低。產生滿刻度差壓信號從低小于0.1 千帕到高幾十千帕。

V錐流量計工作原理: 是一種差壓流量儀表,迄今為止以差壓原理設計的流量儀表已經有一百多年的應用歷史了。差壓原理是基于密封管道中的能量轉換原理,也就是說對穩定流體,流量與管道中介質流速的平方根成正比。當介質接近錐體時,其壓力為P1,在介質通過錐體的截流區時,速度增大,壓力降低為都通過錐形流量計的取壓口引到差壓變送器上,當流速發生變化時,錐形流量計的兩個取壓口之間的差壓值會增大或縮小。 錐流量計在進行流量計算時所采用的計算公式同其他差壓流量儀表相同,但其截流元件的獨特設計,迫使管道中心的介質繞著錐體流動,與其他差壓流量計相比這樣有很多優點。我們可以借助理想狀態流速曲線分布圖來理解錐形流量計的性能。管道中的流體沒有受到任何干擾和阻礙,即是我們所說的理想流態,他的流速分布均勻,靠近管壁的流速幾乎為零,管道中心的流速達到大,靠近管壁的流速幾乎為零,是由于管壁對介質的摩擦力造成的。由于錐體懸掛在管線中心,他直接同流體的高速區接觸,迫使高速區的流體同近管壁低速區的流體相混合從而使流速均勻化。所以即使流速很低,錐形流量計仍能使流體與管道中心的高流速連續作用產生正確差壓。
現實中,流速很難分布均勻,管道上的任何變化都可能對流體造成影響,如:灣頭、閥門、縮徑、擴徑、泵、三通等等,而錐形流量計利用錐體對上游的流速分布曲線重新進行塑造,即使在極為惡劣的情況下,仍能保證測量精度。
V錐流量計特點:流量計精度:±0.5%、±1.0%、±1.5%系統精度須參照應用條件及二次表的精度。
重復性好:優于 量程比寬:正常情況下為,若有必要也可加大。
直管段要求低:流量計前0~3D 直管段、后0~1D 直管段即可保證測量精度。實驗證明,V錐流量計可以接近單彎管或不同平面的雙彎管而對精度影響很小。
長期穩定性好:錐體的外形設計保證流體在流經錐體時是一種漸變的過程,無突變,β值可保持長期不變,儀表可長期使用不需標定。
信號穩定:所有差壓流量計都會有“信號波動”,也就是說即使流體非常穩定,通過一次節流元件產生的信號也會有波動。對孔板而言,在節流件后形成的旋渦較長,這些長的旋渦會產生高幅、低頻波動信號,這些信號會對差壓表的讀數造成干擾。而錐形流量計會在其下游形成小旋渦,產生低幅、高頻波動信號。
壓損 小:由于沒有突出的擋板,因此錐形流量計的**壓力損失比孔板低 無滯留死區:錐體的;吹掃式;設計不存在死區,因此在錐體上不會堆積流體碎片、粘渣或雜質。
混合器作用:錐流量計的下游所產生的旋渦是短旋渦,可在下游將介質混合,因此,目前錐形流量計在作為流量計工作的同時,還可在很多場合用做靜態攪拌器,可迅速而充分的將介質攪拌均勻。
應用: 介 質:煤氣、天然氣(包括含濕度以下)、各種碳氫化合物(包括含濕的HC氣體)、各種稀有氣體(氫、氦、氬、氧、氮等)、氯氣、濕的氯化物氣體、空氣(包括含水、含SiO2粒子以及含其他懸浮物的空氣)、煙道氣、飽和蒸汽(含汽、水兩相流)、過熱蒸汽、水等。
條 件:從深冷到超臨界狀態,高溫度達450℃,大壓力25Mpa。
計 算:每一個錐形流量計都根據流體的性質、壓力和溫度用專門的軟件進行計算。用戶可根據自己的應用條件(所測介質的組份、溫度、壓力、管徑、大流量、常用流量、小流量、準許大壓力損失)選擇β值。
維 護:錐形流量計免維護,不需要定期維護和檢定。
應用范圍:
|
|
潔凈氣/液體 |
臟污氣/液體 |
腐蝕性液體 |
粘性液體 |
磨蝕漿液 |
含纖維漿液 |
低流速流體 |
蒸汽(氣) |
高溫流體 |
低溫流體 |
不充滿管道 |
非牛頓流體 |
明渠 |
|
V錐 |
○ |
○ |
○ |
◎ |
○ |
○ |
○ |
○ |
○ |
○ |
╳ |
╳ |
╳ |
|
孔板 |
○ |
◎ |
○ |
◎ |
╳ |
╳ |
○ |
○ |
○ |
○ |
╳ |
○ |
╳ |
|
文丘里管 |
○ |
√ |
◎ |
◎ |
◎ |
◎ |
◎ |
○ |
◎ |
◎ |
╳ |
◎ |
╳ |
|
噴嘴 |
○ |
◎ |
◎ |
◎ |
◎ |
◎ |
◎ |
○ |
◎ |
◎ |
╳ |
◎ |
╳ |
|
勻速管 |
○ |
◎ |
√ |
◎ |
╳ |
╳ |
◎ |
○ |
◎ |
◎ |
╳ |
╳ |
╳ |
|
彎管 |
○ |
√ |
√ |
◎ |
√ |
╳ |
◎ |
○ |
◎ |
◎ |
╳ |
◎ |
╳ |
|
○:設計*選 ◎:在一定的條件下可用 √ :通常可用 ╳:不適用 |
|||||||||||||
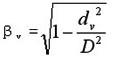
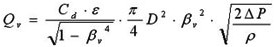
V錐流量計原理
|
經過簡化后公式為: 式中:QV———流體體積流量m3/h Cd———流出系數 βV———等效直徑比 ![]() dV———為錐體大直徑,D為管道內徑 ρ———流體工況下密度 ε———氣體可膨脹系數 |
![]() |


V錐流量計產品選型
|
型 號 |
說 明 |
|||||
|
RZ-VS |
V錐流量計 |
|||||
|
代號 |
口徑(mm) |
|||||
|
15~3000 |
DN15~DN3000mm |
|||||
|
各部件材料材質 |
||||||
|
代碼 |
錐體 |
鋼管 |
法蘭 |
|||
|
A |
SS304 |
20# |
20# |
|||
|
B |
SS304 |
15CrMo |
15CrMo |
|||
|
C |
SS304 |
SS304 |
20# |
|||
|
D |
SS304 |
SS304 |
SS304 |
|||
|
E |
SS316L |
SS304 |
SS304 |
|||
|
G |
SS316L |
SS316L |
SS316L |
|||
|
# |
其它材質 |
|||||
|
代號 |
介質 |
|||||
|
1 |
液體 |
|||||
|
2 |
氣體 |
|||||
|
3 |
蒸汽 |
|||||
|
4 |
高溫介質 |
|||||
|
代號 |
補償形式 |
|||||
|
N |
不帶壓力、溫度補償 |
|||||
|
Q |
帶壓力、溫度補償輸出 |
|||||
|
代號 |
連接形式 |
|||||
|
L |
螺紋連接(適用于小口徑) |
|||||
|
W |
法蘭連接 |
|||||
|
代號 |
壓力等級 |
|||||
|
0 |
0.25MPa |
|||||
|
1 |
0.6 MPa |
|||||
|
2 |
1.0 MPa |
|||||
|
3 |
1.6 MPa |
|||||
|
4 |
2.5 MPa |
|||||
|
5 |
4.0 MPa |
|||||
|
6 |
6.3 MPa |
|||||
V錐流量計訂貨須知:
訂貨時請詳細提供以下數據:
(1)被測介質
(2)大、常用、小流量。
(3)工作壓力、工作溫度 、高壓力、高溫度
(4)介質密度、粘度
(5)管道材質、內徑、外徑
(6)現場管道敷設情況和局部阻力件形式。
- 相關文章
-
- 雷達液位計的作用 【2025-11-18】
- 雷達液位計使用注意事項 【2025-11-18】
- 雷達液位計安裝注意事項全解析 【2025-11-14】
- 雷達液位計工作原理及相關說明 【2025-11-14】
- 同是差壓式流量計,為什么V錐流量計比孔板流量計更有優勢 【2019-08-16】
- V錐流量計在安裝時技術要求、注意事項解及需要規避的誤區 【2019-08-05】
- V錐流量計產品特點及安裝使用時應遵循的要求 【2019-08-02】
- V錐流量計在測量蒸汽干度中的應用案例分析 【2017-12-20】
- V錐流量計說明書,產品選型手冊PDF下載 【2017-10-09】
- V錐流量計在測量野外地下水資源應用中優勢比較與分析 【2017-07-20】
- V錐流量計比較于其他類型的流量計在應用于野外地下水資源計量的優勢 【2017-05-24】
- RZ-VS系列V錐流量計連接智能流量積算儀如何保證蒸汽流量的準確計量 【2017-03-26】
- 潤中儀表V錐流量計在煤氣流量測量中的優勢分析 【2016-05-31】
- 潤中儀表V錐流量計在煤氣流量測量中的優勢分析 【2016-05-31】













